瑞士Rainbow Photonics TeraSys12®太赫兹光谱仪

瑞士Rainbow Photonics TeraSys12®太赫兹光谱仪

TeraSys12®实时太赫兹成像光谱学的终极解决方案。它是一种紧凑型太赫兹仪器,用于实时处理太赫兹频率的传感、检测、分析和处理方法。它基于有机晶体,可以获得高达12 THz的太赫兹频率,这是传统光电导天线无法获得的。

Rainbow Photonics TeraSys12®太赫兹光谱仪特点:

频率范围0.3–12 THz
•实时采集,每秒4个光谱
带湿度传感器的净化室
专用软件和计算机控制
•免维护
•设计紧凑

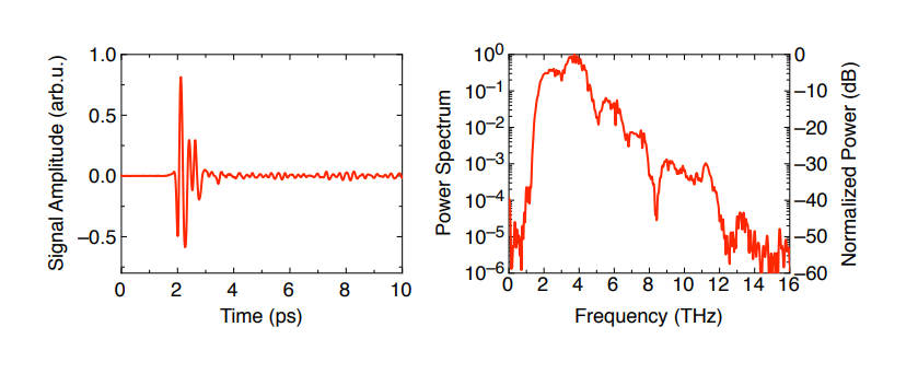
在Transmission中,使用DSTMS有机晶体作为太赫兹发生器和探测器,使用TeraSys12®测量频域光谱

Rainbow Photonics TeraSys12®太赫兹光谱仪规格:

 

瑞士Rainbow Photonics采用其自主研发的太赫兹有机晶体技术,从而能够使太赫兹的研究范围扩展到~14THz。基于这种技术,开发出了有机晶体太赫兹发生器太赫兹探测器,其基于飞秒泵浦脉冲光整流,高效的产生太赫兹辐射泵浦波长经过优化,为1.2-1.6 um,0.7-0.8 um波段也同样适用。

瑞士Rainbow Photonics成立于1997年,是太赫兹光谱设备领域的知名厂商,销售产品为瑞士联邦工学院非线性光学实验室的科研成果,产品包括太赫兹光谱仪,可调谐太赫兹源THz有机晶体,产品应用于实验室生物医学成像安全检查无损探伤爆炸物探测等领域。

Rainbow Photonics拥有独特的太赫兹有机晶体技术,从而能够使太赫兹的研究范围扩展到~14THz,这里介绍的有机晶体太赫兹发生器,太赫兹探测器也是基于其独特的机晶体技术而开发。


Related posts