
高温高发射率涂层
产品亮点
Aremco 的 HiE‑Coat™ 840 系列是一类 高发射率涂层,采用黑体配方设计,主要用于提高红外加热器、炉窑、焚化炉和烘箱的 热效率。该系列涂层适用于家电、陶瓷、化工加工、冶金及精炼行业。使用这些涂层,通常可节约 天然气和燃油约 5–10%。
840 系列型号与说明
类型:陶瓷基,黑色颜料涂层
适用基材:陶瓷纤维模块、轻质耐火板、致密耐火砖
最高耐温:2000 ºF(1093 ºC)
类型:陶瓷基,黑色颜料涂层
适用基材:陶瓷纤维模块、轻质耐火板、致密耐火砖
最高耐温:2400 ºF(1316 ºC)
类型:陶瓷基,黑色颜料涂层
适用基材:致密耐火砖及耐火金属
最高耐温:2000 ºF(1093 ºC)
类型:陶瓷基,黑色颜料涂层
适用基材:致密耐火砖及耐火金属
最高耐温:2400 ºF(1316 ºC)
类型:陶瓷基,黑色颜料涂层
适用基材:碳钢和不锈钢
最高耐温:2000 ºF(1093 ºC)
类型:陶瓷基,黑色颜料涂层
适用基材:碳钢和不锈钢
最高耐温:2400 ºF(1316 ºC)
类型:硅-陶瓷基,黑色颜料涂层
适用基材:铝、铜、碳钢和不锈钢
最高耐温:1100 ºF(593 ºC)
产品编号 840-C 840-CX 840-CM 840-CMX 840-M 840-MX 840-MS 类型 无机陶瓷 无机陶瓷 无机陶瓷 无机陶瓷 无机陶瓷 无机陶瓷 硅-陶瓷 应用基材 轻质耐火纤维模块 轻质耐火纤维模块 致密耐火砖 致密耐火砖 碳钢 碳钢 铝、铜、碳钢、不锈钢 固化颜色 黑色 黑色 黑色 黑色 黑色 黑色 黑色 最高温度 ºF(ºC) 2000 (1093) 2400 (1316) 2000 (1093) 2400 (1316) 2000 (1093) 2400 (1316) 1100 (593) 组分数 1 1 1 1 1 1 1 粘度 cP 70–160 50–150 600–800 150–300 400–800 300–700 250–500 比重 g/cc 1.60 1.52 1.54 1.67 1.61 1.57 1.49 固体含量(重量 %) 58.5 51.5 48.0 51.0 47.3 47.3 57.1 固体含量(体积 %) 27.3 20.25 19.9 22.4 22.1 22.1 42.5 湿膜厚 WFT (mils/µm) 3.66 (92.9) 4.94 (125.4) 5.03 (127.7) 4.46 (113.4) 4.52 (114.8) 4.52 (114.8) 2.40 (61.0) 干膜厚 DFT (mils/µm) 1.00 (25.4) 1.00 (25.4) 1.00 (25.4) 1.00 (25.4) 1.00 (25.4) 1.00 (25.4) 1.00 (25.4) 理论覆盖率 @1 mil ft²/gal (m²/l) 438 (10.8) 325 (8.0) 319 (7.8) 359 (8.8) 355 (8.7) 355 (8.7) 681 (16.7) 空气固化时间 (hrs) 1–2 1–2 1 1–2 1 1 1 热固化 ºF(hrs) 200,1 + 500,1 + 700,1 200,1 + 500,1 + 700,1 200,0.5 + 500,1 200,0.5 + 500,1 200,1 + 500,1 200,1 + 500,1 480,0.75 施工温度 ºF 50–90 50–90 50–90 50–90 50–90 50–90 50–120 稀释剂 840-C-T 840-CX-T 840-CM-T 840-CM-T 840-M-T 840-MX-T 醋酸甲酯 闪点 ºF/ºC NA NA NA NA NA NA 118 (48) 挥发物 lbs/gal 0 0 0 0 0 0 5.3 保质期(月) 6 6 6 6 6 6 6 储存温度 ºF 55–85 55–85 55–85 55–85 55–85 55–85 40–90 参考说明
粘度
使用布鲁克菲尔德(Brookfield)LV 型粘度计测量。
主轴和转速的选择因不同产品而异。
湿膜厚 (WFT)
所列值为估算值,仅供参考。
干膜厚 (DFT)
建议使用的干膜厚值。
理论覆盖率
实际覆盖率会因混合和施工过程中的材料损耗而有所不同。
空气固化时间 (Min Air Set)
当提供该值时,建议在室温下先固化至少指定时间,再进行热固化。
带 “X” 的型号
这些型号使用不含铜的黑色颜料。
铜在火焰直接作用下可能导致涂层发绿。
表面准备说明
所有表面必须清洁,无油、脂、污垢、腐蚀物、氧化物、旧漆或其他杂质。
对陶瓷、耐火材料或石墨表面无需额外处理。
石英应尽可能进行蚀刻或喷砂处理。
光滑金属表面应喷砂或使用 Aremco Corr-Prep™ CPR2000 进行蚀刻处理。
缩写说明
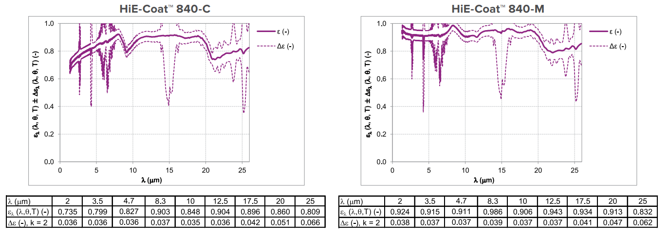
缩写 含义 NA 不适用 NR 不需要 DFT 干膜厚 WFT 湿膜厚 “800 ºC 时的光谱法向发射率”
